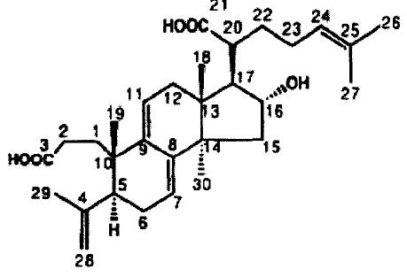
供应:茯苓新酸B,又名:茯苓酸B,英文名:poricoic acid B,CAS No:137551-39-4,分子式:C30H44O5,分子量:484.67,纯度:≥98.0,实验室自制, 纯度经过HPLC测定98%以上。规格:20mg; 1g... 本公司可提供多种标准品的定制。
每支20 mg,可根据客户需求,提供多种规格的包装。
公司一贯坚持“质量第一,用户至上,优质服务,信守合同”的宗旨,凭借着高质量的产品,良好的信誉,优质的服务,产品畅销全国。

更新时间:2015-04-13 19:28 免费会员
- 产品详情
- 规格参数
- 联系方式